今天為廣大朋友介紹的是——印染廢水處理工藝
紡織印染廢水具有水量大、成分復雜多變、色度大、COD高、毒性強等特點, 屬于難處理的工業廢水之一.如直接采用生化法如厭氧(水解酸化)、好氧等對其進行處理, 時常會發生活性污泥受到抑制、生化系統癱瘓崩潰等不良情況.因此, 在實際運行工藝中, 會先采用物化方法即投加鐵鹽、鋁鹽和PAM等混凝助凝劑, 通過吸附網捕等方式降低印染廢水污染物濃度和毒性后, 再進入生化系統進行處理.但該法存在生化處理能力有限、生化運行不穩定、化學污泥產量大等問題.
雙氧水作為一種高級強氧化劑, 通常情況下會對污泥活性造成抑制影響, 甚至導致生化系統的癱瘓和崩潰, 因此在印染廢水處理中, 其常與鐵形成芬頓試劑, 用于深度處理環節中的染料脫色.
本實驗嘗試了不同于以往的生化研究方法, 即采用雙氧水協同水解酸化-接觸氧化強化處理印染廢水的方法.通過接種城鎮污水廠的常規活性污泥, 在淹沒式生物濾池反應器(submerged biological aerated filter, SBAF)內, 經水解酸化-接觸氧化生化系統啟動并運行穩定后, 在嚴格控制雙氧水投加濃度、投加量、投加頻率和投加方式的條件下, 將其投加到水解酸化反應器內, 可顯著提高水解酸化和接觸氧化的生化處理能力, 并提升生化體系的穩定性.本實驗分別選取接種種泥、水解酸化污泥和接觸氧化污泥, 采用16S rDNA宏基因組高通量測序技術, 分析對比了各反應器中污泥微生物的群落結構, 明確了各反應器中的優勢微生物.該實驗驗證了雙氧水協同水解酸化-接觸氧化強化處理印染廢水具有技術可行性, 且對于未來提升生化系統處理能力和運行穩定性具有重要的指導意義.
一,材料與方法
1.1 實驗裝置
實驗裝置如圖 1所示, 兩個圓柱形反應器主體采用有機玻璃制作, 分別設為水解酸化A段和接觸氧化O段, 其內徑均為11.0 cm, 高度38.0 cm, 總容積3.6 L, 有效容積3.0 L.反應器內部均懸掛組合填料供微生物附著生長, 外部包裹2.5 cm厚的水浴夾層用于保溫.

圖 1 本實驗的反應裝置示意
1.2 接種污泥
本實驗接種污泥取自廣州市某污水處理廠二沉池的普通活性污泥.接種前, 將污泥靜置倒掉上清液后, 空曝3 d消耗污泥中的有機物, 之后將濃縮污泥濃度調節到10 246.3 mg·L-1, 備用.
1.3 實驗用水
本實驗用水采用人工模擬廢水, 其主要成分為(單位mg·L-1):葡萄糖80.0~150.0, 可溶性淀粉120.0~300.0, 聚乙烯醇(PVA)200.0~320.0, 碳酸銨3.0~61.0, 磷酸二氫鉀25.0, 硫酸鎂20.0, 硫酸錳10.0, 硫酸鐵2.0, 活性黑染料5.0~30.0.實驗進水水質見表 1.

表 1 模擬印染廢水成分
1.4 實驗方法
本實驗水解酸化污泥和接觸氧化污泥培養與馴化, 包括以下步驟.
1.4.1 污泥掛膜階段
(1) 水解酸化A段掛膜 取3.0 L接種污泥倒入反應器A內, 打開攪拌裝置運行5 d, 此期間每天投加適量的葡萄糖, 碳酸銨以及磷酸二氫鉀作為營養原料, 當肉眼可見填料上附著污泥呈黑色, 且水洗不易脫落時, 停止攪拌裝置后, 將懸浮污泥從反應器A中排出.掛膜完成.
(2) 接觸氧化O段掛膜 取3.0 L接種污泥倒入反應器O內, 打開曝氣裝置運行5 d, 此期間每天投加適量的葡萄糖, 碳酸銨以及磷酸二氫鉀作為營養原料, 當肉眼可見填料上附著污泥呈黃褐色, 且水洗不易脫落時, 停止曝氣裝置, 將懸浮污泥從反應器O中排出.掛膜完成.
(3) 將水解酸化段A出水口與接觸氧化段O進水口用泵連通, 形成組合工藝.
1.4.2 生化系統啟動階段
(1) 階段 配置模擬生化廢水進水COD濃度為450.0~500.0 mg·L-1的模擬廢水, 其主要成分為可溶性淀粉, 葡萄糖, 碳酸銨, 磷酸二氫鉀, 使得BOD5:N:P為100:5:1, 開始連續進水, A段和O段的HRT均為12 h, O段DO為2.5~3.5 mg·L-1. 20 d后, 當O段出水COD穩定小于30.0 mg·L-1、氨氮為0.0 mg·L-1時, 階段完成(該階段僅為啟動環節, 出水水質數據不作為本實驗的分析內容).
(2) 第二階段 配置模擬印染廢水進水COD濃度按梯度分別為200.0、300.0、500.0和800.0 mg·L-1的含PVA印染廢水, 其主要成分為PVA, 可溶性淀粉, 葡萄糖, 碳酸銨, 磷酸二氫鉀, 染料活性黑B150(主要成分Black KN-B), B/C比為0.23, 其中PVA所貢獻的COD占比為60.0%, 色度300.0~400.0倍.系統連續進水, A段和O段的水溫均控制在30~32℃, HRT均為18~20 h, O段DO為5.0~6.0 mg·L-1.當O段出水COD基本穩定在400.0~450.0 mg·L-1時, 第二階段完成.該階段出水水質進行各指標檢測.
(3) 第三階段 調整模擬含PVA印染廢水中成分配比, 使PVA所貢獻COD占比降低至50.0%, 水質B/C比調整至0.26, 水質總COD維持800.0 mg·L-1, 色度維持300.0~400.0倍.系統連續進水, A段和O段的水溫均控制在30~32℃, 水力停留時間均為18~20 h, 待生化系統比較終去除效果穩定時, 即COD去除率70.0%~74.0%, PVA去除率51.0%~54.0%, 氨氮去除率98.0%~100.0%, 色度總去除率約86.0%~91.0%時, 完成第三階段.該階段出水水質進行各指標檢測.
1.4.3 雙氧水投加依據
由于目前暫未找到雙氧水協同水解酸化-接觸氧化處理印染廢水相關方面的文獻, 因此本實驗設計以前期探索工作為依據.
在水解酸化-接觸氧化生化系統運行穩定后, 于當天下午16:00開始在水解酸化段投加了20.0 mL體積分數為150.0 mL·L-1的雙氧水(15.0%的雙氧水), 流速為0.67 mL·min-1, 投加時間約2.5 h.第二天早上09:00取樣前, 發現水解酸化反應器存在嚴重污泥上浮現象, 且體系局部DO濃度高達30.0 mg·L-1, 當即采取了緊急措施, 關閉了所有進水閥, 將水解酸化體系的污水全部排出, 換成自來水, 之后按正常模擬廢水進水, 該生化系統經過7 d后得到恢復(恢復依據為達到1.4.2節中生化系統啟動階段的第三階段特征污染物去除情況).
當生化系統恢復穩定后, 于當天下午16:00開始在水解酸化段投加20.0 mL體積分數為15.0 mL·L-1的雙氧水(1.5%的雙氧水), 流量為0.67 mL·min-1, 投加時間約2.5 h.第二天早上09:00取樣前, 發現水解酸化反應器內存在少量污泥上浮現象, 且體系DO大于2.0 mg·L-1, 隨即停止投加雙氧水, 關閉所有進水閥, 將水解酸化體系的污水全部排出, 換成自來水, 之后按正常模擬廢水進水, 該節生化系統經過7 d后得到恢復(恢復依據為達到1.4.2節中生化系統啟動階段的第三階段特征污染物去除情況).
當生化系統再次恢復穩定后, 于每天下午16:00開始在水解酸化段投加100.0 mL體積分數為3.0 mL·L-1雙氧水(0.3%的雙氧水), 流量為0.67 mL·min-1, 投加時間約2.5 h.第二天早上09:00取樣前, 反應器內沒有出現污泥上浮現象, DO穩定在0.1~0.4 mg·L-1, 體系運行正常.
因此, 經過前期實驗探索, 雙氧水的投加條件比較終選取為:體積分數為3.0 mL·L-1, 投加量為100.0 mL, 流速0.67 mL·min-1, 投加時間每天下午16:00, 持續約為2.5 h, 投加頻率為1次·d-1.
1.4.4 雙氧水協同生化系統啟動及運行階段
(1) 此階段中, 體系模擬進水成分和濃度, 與1.4.2節中(3) 一致, A段和O段的HRT均維持在18~20 h.
(2) 每個HRT階段內, 用蠕動泵向A段注入雙氧水溶液, 投加條件參見1.4.3節.于每天早上09:00取出水水樣, 并對水質的各指標進行檢測.
(3) 體系持續運行.系統運行穩定后, 分別在A段和O段的生物膜上各采集一個污泥樣本, 送至檢測機構(銳博生物科技有限公司, 廣州)進行16S rDNA宏基因組測序.
1.5 水質檢測方法
本實驗水質均采用國家標準方法.其中, COD采用重鉻酸鉀法測定; NH4+-N采用水楊酸法測定; 色度采用稀釋法測定; PVA采用分光光度法測定; pH值和溫度采用便攜式pH計(PJBJ-260, 上海雷磁)測定; DO采用便攜式溶解氧分析儀(JPB-607A, 上海雷磁)測定.染料吸光度采用分光光度法測定.
1.6 基于Illumina平臺的16S rDNA宏基因組測序
分別取反應器A和反應器O中的污泥, 經濃縮后, 冷凍干燥機冷凍干燥, 進行16S rDNA宏基因組測序[19], 其流程如下.
1.6.1 樣品抽提與質檢
采用離心吸附柱法進行樣品DNA抽提, 并用Agarose Gel Electrophoresis和ND-1000Nanodrop進行樣品質檢.
1.6.2 文庫構建與質檢
通過質檢的樣品, 用TruSeq® Custom Amplicon Sample Prep Kit進行文庫構建, 主要包括內側特異性引物PCR擴增、外側接頭特異性引物PCR擴增及純化, 并用Agilent2200TapeStation和Qubit2.0進行文庫質檢.
1.6.3 樣本制備
(1) 通過質檢的文庫, 按照pooling比例進行混合, pooling后的濃度為2.1 nmol·L-1.
(2) 將pooling樣品與2.1 nmol·L-1 Phix Control按照19:1比例進行混合.
(3) 將2.0 mol·L-1 NaOH稀釋為0.2 mol·L-1 NaOH.
(4) 將(2) 和(3) 處理結果按照1:1比例進行混合, 室溫孵育5 min.
(5) 用HT1將(4) 中混合物稀釋100倍, 取420 μL作為測序樣本.
1.6.4 上機測序
使用Pair End Flow Cell, 進行MiSeq 2500上機操作, 并運行Pair End(2×100) 標準測序程序.
1.6.5 數據分析
測序程序運行完畢, 對所得數據進行生物信息學分析.首先對原始數據進行過濾, 去除低質量數據, 得到干凈數據(clean data)后進行后續分析; 其次將Paired-end reads拼接為Tags, 并且去冗余, 獲取Unique Tags; 然后對Unique Tags進行聚類, 生成OTU(operational taxonomic units); 比較后利用生成的OTU進行物種注釋、分類統計及Alpha多樣性分析.
上述步驟中所使用的試劑、儀器及廠家信息見表 2.

表 2 主要使用的儀器及試劑
二,結果與討論
2.1 反應體系中印染廢水pH變化
pH的變化在一定程度上可以反映水解酸化、接觸氧化的生化運行情況.為了驗證雙氧水對水解酸化-接觸氧化體系是否具有抑制或破壞作用, 本實驗對印染廢水進水、水解酸化A段出水、接觸氧化O段出水的pH進行檢測分析, 結果如圖 2所示.本實驗過程經歷了兩個階段:生化系統啟動期(階段Ⅰ:1~43 d)和雙氧水協同生化系統運行期(階段Ⅱ:44~176 d).在階段Ⅰ中, 由于實驗采用COD階梯式增長方式啟動系統, 在第1 d~26 d時, 印染廢水進水pH平均值為7.6, 水解酸化出水pH平均值7.4, 接觸氧化出水pH平均值7.4.這是由于水解酸化污泥和接觸氧化污泥均處于馴化階段, 因此印染廢水進水、水解酸化出水和接觸氧化出水pH沒有明顯差別, 且分別無顯著變化規律.在第27~43 d時, 當印染廢水進水pH平均值提升至7.9(由于COD增加而引起的), 水解酸化出水pH平均值降為7.2, 接觸氧化出水pH平均值降為7.1.說明水解酸化A段開始產生生化作用.在階段Ⅱ中, 在印染廢水水質不發生變化的條件下, 雙氧水投加至水解酸化A段中, 該過程水解酸化A段內DO始終保持穩定在0.1~0.4 mg·L-1之間, 且未出現污泥上浮(或死泥漂浮)的現象.此階段印染廢水進水pH平均值為8.0, 水解酸化出水pH平均值為7.4, 接觸氧化出水pH平均值降為7.3, 即水解酸化出水pH平均值與接觸氧化出水pH平均值接近, 但低于印染廢水進水pH平均值.說明雙氧水對水解酸化-接觸氧化生化體系未造成抑制或破壞影響.

圖 2 反應體系pH變化情況
2.2 反應體系中印染廢水COD去除情況
從圖 3的結果可知, 印染廢水中COD的去除情況分為兩個階段:生化系統啟動期(階段Ⅰ:1~43 d)和雙氧水協同生化系統運行期(階段Ⅱ: 44~176 d).在階段Ⅰ內, 生化系統進水COD以階梯式增長方式啟動系統, 即第1~13 d, 進水COD為194.0~217.0 mg·L-1; 第14~18 d, 進水COD為284.0~300.0 mg·L-1; 第19~26 d, 進水COD為473.0~500.0 mg·L-1; 第27~43 d, 進水COD為753.0~823.0 mg·L-1.采用這種啟動方式的目的在于提高系統的抗沖擊負荷能力, 通過緩慢改變水質環境, 使污泥循序漸進地得以馴化.此階段系統COD總去除率比較大可達到71.9%.當該體系COD總去除率穩定維持在62.5%~71.9%時, 將雙氧水于第43 d開始定時定量地投加到水解酸化A段內.從圖 3中數據可知, 第43~77 d, 水解酸化A段COD去除率從44.5%下降到24.4%, 接觸氧化A段COD去除率從57.1%上升到91.3%.其中, 水解酸化A段重點在于污染物質化學結構和性質上的改變, 而不在于其量的去除, 當雙氧水投加到水解酸化A段時, 其產生的羥基自由基的強氧化性可協同水解酸化微生物將廢水中部分大分子有機物分解為小分子有機物(這可能是引起COD去除率出現下降的主要原因), 其產物中的微量氧氣可提高兼性水解酸化菌的生理代謝功能.這說明雙氧水的投加使得A段的水解酸化能力得以加強, 從而對提高接觸氧化O段的生化處理能力起到了顯著作用; 第77~176 d, 水解酸化A段COD去除率穩定維持在20.6%~26.9%, 接觸氧化A段COD去除率穩定維持在88.5%~94.6%.此階段Ⅱ該反應體系COD比較大去除率為95.8%, 平均去除率為89.8%.

圖 3 反應體系COD去除情況
這一實驗結果表明, 向水解酸化A段投加雙氧水, 嚴格控制其投加濃度、投加量、投加時間和投加方式, 不僅不會出現抑制污泥活性、破壞生化系統的情況, 反而有利于提升水解酸化-接觸氧化體系對廢水中COD的生化去除能力.
2.3 反應體系中印染廢水氨氮去除情況分析
從圖 4的結果可知, 印染廢水中氨氮的去除情況分為兩個階段:生化系統啟動期(階段Ⅰ: 1~43 d)和雙氧水協同生化系統運行期(階段Ⅱ: 44~176 d).在階段Ⅰ內, 生化系統進水氨氮以階梯式增長方式啟動系統.采用這種啟動方式主要是因為隨著進水COD的不斷提升, 為保證微生物生長所需要的水質C/N比, 而不斷增加進水中的氨氮濃度.此階段A段出水氨氮濃度隨著進水氨氮濃度的增大而持續增大, 其出水氨氮濃度和氨氮去除率時有明顯波動, 其中氨氮去除率出現過多次負值, 而接觸氧化O段出水氨氮濃度和氨氮去除率在第24 d后開始逐漸穩定, 其出水氨氮濃度均穩定較低水平.這說明前期進水氨氮濃度的增加, 會引起系統波動運行.當第43 d開始向水解酸化A段投加雙氧水后, 系統進入階段Ⅱ.隨著進水氨氮濃度的不斷上升, 水解酸化A段出水氨氮濃度也呈正相關性增長, 其氨氮去除率沒有再出現過負值現象, 接觸氧化O段氨氮去除率一直保持低水平的平穩狀態, 此階段氨氮比較大去除率達到100.0%, 平均去除率達到96.7%.這說明雙氧水的投加對生化體系穩定性是有利的.有研究發現, 雙氧水的投加會增加廢水中的氧含量, 能顯著提升氨氮的去除率, 本實驗得出的結論與之一致.因此, 雙氧水的適量投加, 不僅使得生化體系對印染廢水中COD的去除能力提高, 對氨氮的去除能力也同樣增強.

圖 4 反應體系中氨氮的去除情況
2.4 反應體系中印染廢水PVA去除情況分析
PVA是印染廢水中比較典型的難降解大分子有機物.為了更為直觀地了解雙氧水協同生化對印染廢水的處理能力, 本實驗從第43 d開始(即投加雙氧水開始), 增加了PVA濃度檢測.通過對PVA的去除情況影響, 可對雙氧水協同生化工藝有進一步深入認識.實驗結果如圖 5所示.

圖 5 反應體系中PVA的去除情況
從圖 5結果可知, 在43~53 d期間, 該反應體系經歷了短期的適應階段后, 于第54 d開始, 隨著進水PVA濃度的增大, 水解酸化A段對其去除能力呈緩慢下降趨勢, 而接觸氧化O段對PVA的去除能力不斷增強, 到63 d時該段對PVA的去除率達到90.8%.此后隨著運行時間的增長, 接觸氧化O段對PVA依然保持良好的去除能力, 即PVA比較大去除率達到94.4%, 平均去除率為87.4%.這一結果再次證明, 雙氧水對水解酸化-接觸氧化的生化處理能力的提升與強化作用.
2.5 反應體系中印染廢水脫色情況分析
本實驗配置的模擬印染廢水進水色度在300~400倍之間.由于色度稀釋法存在一定的誤差性, 因此本實驗通過投加不同濃度的染料, 采用波長600 nm處的吸光度測定變化, 來間接反映該體系中的色度去除情況, 其結果如圖 6所示.

圖 6 反應體系中色度的去除情況
雙氧水在水中會分解產生羥基自由基, 可有效降解含共軛雙鍵的發色基團及其他含有復雜芳香環的官能團, 因此當其與水解酸化、接觸氧化共同作用時, 會對印染廢水有顯著的脫色性能.從圖 6結果可知, 在運行43~113 d期間, 當廢水進水染料濃度為10 mg·L-1時, 其水質在波長600 nm處的吸光度為0.26~0.38, 經雙氧水協同水解酸化A段和接觸氧化O段處理后, A段的色度去除能力先處于波動狀態, 后穩定持續在70.0%左右, 而O段的色度去除能力先持續增強, 后穩定維持在80.0%左右小范圍波動; 從114~176 d, 隨著染料投加從20 mg·L-1增加到60 mg·L-1時, A段的色度去除能力呈緩慢增強趨勢, 體現出雙氧水與水解酸化協同強化作用; 而O段的色度去除能力呈顯著下降趨勢, 總體系的色度去除能力有略微下降趨勢, 但整體上呈現較為穩定的狀態.在整個這一運行過程中, 反應體系的比較大脫色率為96.3%, 平均脫色率為92.1%.這一結果體現出雙氧水協同水解酸化-接觸氧化方法對色度去除的技術優勢.
2.6 反應體系內微生物菌群的宏基因組16S rDNA測序分析 2.6.1 微生物聚類與Alpha多樣性分析
微生物聚類分析:利用Qiime挑選OTUs, 將所有相似性大于97%的序列歸為一個OUT, 默認聚類方法為uclust, 即一個OUT表示一個物種, 體系中OUT大于4 000, 微生物物種豐富.
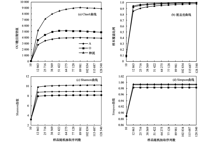
微生物α多樣性分析:α多樣性即樣品內部的生物多樣性, 主要有Chao1指數、Shannon指數、Simpson指數, Chao1指數等多種衡量樣品物種豐度的指標.這些指數數值越大, 表明物種豐度越大.其中, Shannon和Simpson指數是綜合了OTU豐度和OTU均勻度兩方面因素多樣性指數, Shannon值越大, Simpson值越小, 說明群落多樣性越高.
樣本覆蓋度:是指測序結果占整個基因組的比例.通常將該指標與聚類、α多樣性指標的稀釋曲線相結合, 用于評價測序量是否覆蓋所有類群, 并間接反映樣品中物種的豐富程度.當曲線趨于平緩或者達到平臺期時則認為測序深度已基本覆蓋樣品中的所有物種.
為了研究本體系內微生物的種群結構特征, 本實驗選取3個污泥樣品, 分別為接種期種泥、運行期A段反應器污泥和O段反應器污泥, 對這些微生物樣品進行聚類與多樣性分析, 其OTU數目、有效序列條數統計及微生物α多樣性相關的各項指標見表 3和圖 7所示.根據指標結果, 本研究中樣品曲線基本趨于平緩, 各測序結果占整個基因組的97%以上, 覆蓋度高, 證明樣品測序量能夠準確反映出樣品的物種豐度.

表 3 微生物樣品的α多樣性

圖 7 α多樣性指標的稀釋曲線
2.6.2 反應體系內微生物菌群結構分析
本實驗運行期的A段反應器污泥和O段反應器污泥, 采用宏基因組16S rDNA宏基因測序分析技術, 對反應體系內微生物的菌群結構特征進行研究, 其結果如圖 8和表 4所示.

圖 8 反應體系內微生物的菌群組成(門水平)

表 4 反應體系內微生物的菌群特性(門水平
從圖 8和表 4可知, 通過對比該反應體系在接種期和運行期時的微生物在門水平下的菌群結構和豐度變化, 發現不同時期, 不同生化段的微生物菌群結構有著顯著差異.
反應體系在接種期間, 除5.1%未檢出或未識別的菌門, 種泥微生物共包括49個菌門, 其中>1%的共有11個菌門(如表 4).其中變形菌門Proteobacteria和綠彎菌門Chloroflexi所占比例達到51.0%, 為種泥中的絕對優勢菌門.其次, 各菌門根據菌種豐度含量大小依次為:變形菌門Proteobacteria>綠彎菌門Chloroflexi>硝化螺旋菌門Nitrospirae>浮霉菌門Planctomycetes>放線菌門Actinobacteria>酸桿菌門Acidobacteria>擬桿菌門Bacteroidetes>疣微菌門Verrucomicrobia.
反應體系在運行期間, 除7.5%未檢出或未識別的菌門, 水解酸化A段共包括51個菌門, 比接種期種泥多了2個菌門, 其中>1%的共有11個菌門.其中變形菌門Proteobacteria和擬桿菌門Bacteroidetes所占比例分別為27.0%和14.5%, 成為水解酸化A段的優勢菌門.其次, 各菌門豐度含量大小依次為:變形菌門Proteobacteria>擬桿菌門Bacteroidetes>疣微菌門Verrucomicrobia>厚壁菌門Firmicutes>芽單胞菌門Gemmatimonadetes>酸桿菌門Acidobacteria>梭桿菌門Fusobacteria>OD1>綠彎菌門Chloroflexi>綠菌門Chlorobi>放線菌門Actinobacteria>OP3>廣古菌門Euryarchaeota(=BRC1)>黏膠球形菌門Lentisphaerae(=浮霉菌門Planctomycetes=裝甲菌門Armatimonadetes).有研究表明, 擬桿菌門Bacteroidetes和厚壁菌門Firmicutes廣泛存在于染料廢水處理中的水解酸化段, 這兩個菌門主要用于染料色度的去除.本研究結果與這些報道結果之間既存在共同點, 也存在差異.
反應體系在運行期, 除6.9%未檢出或未識別的菌門, 接觸氧化O段共包括30菌門, 比接種期種泥少了19個菌門, 其中>1%的共有11個菌門.其中變形菌門Proteobacteria和浮霉菌門Planctomycetes所占比例分別為18.9%和26.2%, 成為接觸氧化O段的優勢菌門.其次, 各菌門豐度含量大小依次為:浮霉菌門Planctomycetes>變形菌門Proteobacteria>酸桿菌門Acidobacteria>疣微菌門Verrucomicrobia>綠彎菌門Chloroflexi>芽單胞菌門Gemmatimonadetes>裝甲菌門Armatimonadetes>放線菌門Actinobacteria>BRC1>硝化螺旋菌門Nitrospirae(=TM6).
綜上, 水解酸化A段微生物從接種期到運行期, 菌群結構發生了顯著變化, 其優勢菌門主要為變形菌門Proteobacteria、擬桿菌門Bacteroidetes和疣微菌門Verrucomicrobia, 這3個菌門所占比例達到51.3%.接觸氧化O段微生物從接種期到運行期, 菌群結構同樣發生了顯著變化, 其優勢菌門主要為浮霉菌門Planctomycetes、變形菌門Proteobacteria和酸桿菌門Acidobacteria, 這3個菌門所占比例達到53.9%.
三,結論
(1) 將雙氧水投加到水解酸化A段中, 投加體積分數3 mL·L-1、投加量100.0 mL、流速0.67 mL·min-1、投加頻率1次·d-1, 可顯著強化水解酸化和接觸氧化的生化處理能力。
(2) 雙氧水協同水解酸化-接觸氧化可對印染廢水中的特征污染物進行有效處理.其中, COD平均去除率為89.8%;氨氮平均去除率達到96.7%; PVA平均去除率為87.4%;染料平均脫色率為92.1%.
(3) 水解酸化A段和接觸氧化O段的微生物從接種期到運行期, 菌群結構均發生了顯著變化.其中, 水解酸化A段優勢菌門主要為變形菌門Proteobacteria、擬桿菌門Bacteroidetes和疣微菌門Verrucomicrobia; 接觸氧化O段優勢菌門主要為浮霉菌門Planctomycetes、變形菌門Proteobacteria和酸桿菌門Acidobacteria.

污水處理設備聯系方式:
銷售熱線:010-8022-5898
手機號碼:186-1009-4262





